发布于vn.py
社区公众号【vnpy-community】
原文作者:Bili | 发布时间:2021-07-29
系列前言
经过这两年2.0大版本下的持续迭代,vn.py在易用性方面有了不少提升,现阶段对于许多社区新人来说,可能最难的已经不再是如何安装使用vn.py,而是如何用vn.py开发出优秀的量化策略。
开发策略这件事情确实需要一定的灵感,但更多还是应该参考爱迪生的名言:
天才是1%的灵感加上99%的汗水。
在当今2021年的中文互联网上,其实已经可以找到非常丰富的量化策略研究资料:
- 券商和期货公司研究所发布的金融工程研报;
- 知名高校和业内公司发表的量化投资论文;
- 微信公众号等自媒体上分享的策略研究文章;
- 各家量化平台线上公开的经典策略源代码。
初学者最快的学习方式,无疑是站在这些巨人的肩膀上,付出99%的汗水掌握前人的已有知识和经验,然后再加上1%的灵感来开发出属于自己的量化策略。
所以在许多社区用户的建议下,我们决定推出这个新的【Veighna量化策略实验室】文章系列,帮助大家尽可能体系化的学习量化策略开发:
- 找到好的量化研究资料;
- 在vn.py中复现策略代码;
- 和原资料对比检验正确性;
- 加入更多灵感来改进提升。
那么,接下来就是本系列的第一篇正式内容,策略资料来源于vn.py社区用户分享的券商金工研报,作者是财通证券研究所的陶勤英博士。
基本信息

策略原理
RV计算公式
高频已实现波动率(Realized Volatility
)是一种根据高频数据(这里指的是日内分钟线级别的数据,而非Tick级别数据)计算的日内波动率指标,该指标的计算公式为:

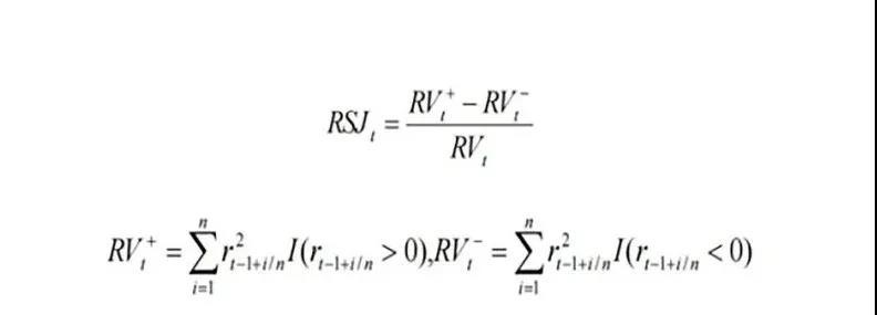
RSJ计算公式
等作者(相关论文请参考研报PDF中的内容)研究的【好】与【坏】的波动率,是在RV的基础上将其分解为单独的上涨(好)和下跌(坏)两种情形下的波动率度量。将波动率分解为【好】波动和【坏】波动后,可以基于其相对的差值,去度量日内价格波动的不对称性(RSJ),该指标的计算公式为:

RSJ指标应用
根据原论文中的内容,日内高频数据计算得出的【好】波动率,描述了价格上涨时候的特征(反之【坏】波动率则是描述了价格下跌时候的特征)。
该指标用于横截面的选股策略上时,对未来收益率可以起到反转的预测效果。如果应用到时序类的CTA策略
,则对应的逻辑大概为:
RSJ数值越大,则说明未来越倾向于下跌;
- RSJ数值越小,则说明未来越倾向于上涨。
策略核心逻辑
考虑到RSJ指标衡量的是当天日内整体价格波动所反应出来的信息,且每天股票市场的成交量大多集中在开盘和收盘附近的时间,因此我们选择在临近收盘的时间点,计算过去一段时间的RSJ指标,并对隔夜以及第二天日内的价格走势变化进行预测。
具体策略逻辑:
- 使用5分钟级别的K线来计算RSJ指标;
- 在每日的14:55计算前一段时间(可调参数)的RSJ指标;
- 若RSJ指标大于0则发出空头信号,反之则发出多头信号;
- 基于指标发出的交易信号,在收盘前完成交易(比如14:56);
- 持仓到第二天的14:55分,然后重复2-4步骤调整仓位。
该策略的特点:
- 策略始终在市场中(持有仓位),要么做多,要么做空;
- 每天最多执行一次交易(如果信号方向变化)。
回测结果
回测数据上,本文中选择使用米筐RQData提供的IH888平滑主力合约数据,在后续的篇幅中我们会尝试更多的品种,在CtaBacktester中的回测配置如下:
- 本地代码:IH888.CFFEX
- K线周期:1分钟
- 开始日期:2017-7-30
- 结束日期:2020-7-22
- 手续费率:0.00003
- 交易滑点:0.4
- 合约乘数:300
- 价格跳动:0.2
- 回测资金:100W
作为原始版本策略的源码复现,初步回测结果还不错:

资金曲线的形状和财通研报中的结果基本一致(下图中的蓝线),可以认为比较正确的复现了策略逻辑:

策略回测的关键统计结果:
- 总交易日:715
- 盈利交易日:370
- 总收益率:83.73%
- 年化收益:28.11%
- 百分比最大回撤:-25.03%
完整代码
最后,秉承vn.py社区的一贯精神:
Talk is cheap, show me your pnl (or code) !
自然必须附上策略的源代码:
from datetime import time
import numpy as np
from vnpy.app.cta_strategy import (
CtaTemplate,
BarGenerator,
ArrayManager,
OrderData,
TradeData,
StopOrder)
from vnpy.trader.object import (
BarData,
TickData
)
class RsjStrategy(CtaTemplate):
""""""
author = "Bili"
# 定义参数
rsj_window = 12
# 定义变量
rsj_value = 0.0
parameters = [
"rsj_window"
]
variables = [
"rsj_value"
]
def __init__(self, cta_engine, strategy_name, vt_symbol, setting):
""""""
super().__init__(cta_engine, strategy_name, vt_symbol, setting)
self.bg = BarGenerator(self.on_bar, 5, self.on_5min_bar)
self.am = NewArrayManager()
def on_init(self):
"""
策略初始化
"""
self.write_log("策略初始化")
self.load_bar(10)
def on_start(self):
"""
启动策略
"""
self.write_log("策略启动")
self.put_event()
def on_stop(self):
"""
策略停止
"""
self.write_log("策略停止")
self.put_event()
def on_tick(self, tick: TickData):
"""
TICK更新
"""
self.bg.update_tick(tick)
def on_bar(self, bar: BarData):
"""
K线更新
"""
self.bg.update_bar(bar)
def on_5min_bar(self, bar: BarData):
"""5分钟K线更新"""
# 全撤委托
self.cancel_all()
# 缓存K线
am = self.am
am.update_bar(bar)
if not am.inited:
return
# 计算技术指标
self.rsj_value = self.am.rsj(self.rsj_window)
# 判断交易信号
if bar.datetime.time() == time(14, 50):
if self.rsj_value > 0:
if self.pos > 0:
self.sell(bar.close_price - 10, 1)
self.short(bar.close_price - 10, 1)
elif self.rsj_value < 0:
if self.pos < 0:
self.cover(bar.close_price + 10, 1)
self.buy(bar.close_price + 10, 1)
# 更新图形界面
self.put_event()
def on_order(self, order: OrderData):
"""
Callback of new order data update.
"""
pass
def on_trade(self, trade: TradeData):
"""
Callback of new trade data update.
"""
self.put_event()
def on_stop_order(self, stop_order: StopOrder):
"""
Callback of stop order update.
"""
pass
class NewArrayManager(ArrayManager):
def __init__(self, size=100):
""""""
super().__init__(size)
self.return_array: np.ndarray = np.zeros(size)
def update_bar(self, bar: BarData) -> None:
"""更新K线"""
# 先调用父类的方法,更新K线
super().update_bar(bar)
# 计算涨跌变化
if not self.close_array[-2]: # 如果尚未初始化上一根收盘价
last_return = 0
else:
last_return = self.close_array[-1] / self.close_array[-2] - 1
# 缓存涨跌变化
self.return_array[:-1] = self.return_array[1:]
self.return_array[-1] = last_return
def rsj(self, n: int) -> float:
"""计算RSJ指标"""
# 切片出要计算用的收益率数据
return_data = self.return_array[-n:]
# 计算RV
rv = np.sum(pow(return_data, 2))
# 计算RV +/-
positive_data = np.array([r for r in return_data if r > 0])
negative_data = np.array([r for r in return_data if r <= 0])
rv_positive = np.sum(pow(positive_data, 2))
rv_negative = np.sum(pow(negative_data, 2))
# 计算RSJ
rsj = (rv_positive - rv_negative) / rv
return rsj
原文:https://zhuanlan.zhihu.com/p/435526330